wsysyyc (妙不可言)当前离线
禁止发言
TOP
风平浪静 (★CDC★风^ō^平)当前离线
疾控人
管理员
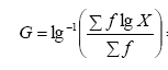
求平均滴度的倒数为以下公式:
xiaoyi 当前离线
新生入学
统计软件都可以做啊,SPSS很简单的.EXCEL也可以,不过EXCEL市场计算的样本量有限.