返回列表 发帖

向各位请教:如何计算几何平均滴度(GMT)

向各位请教:如何计算几何平均滴度(GMT)

提示: 作者被禁止或删除 内容自动屏蔽

提示: 作者被禁止或删除 内容自动屏蔽

TOP

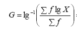
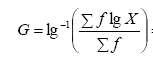
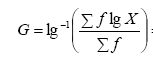
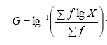
求平均滴度的倒数为以下公式: CaEFUye8.bmp

加强基层疾控队伍建设,共创疾控事业辉煌明天!

TOP

提示: 作者被禁止或删除 内容自动屏蔽

TOP

统计软件都可以做啊,SPSS很简单的.EXCEL也可以,不过EXCEL市场计算的样本量有限.

TOP

返回列表