
标题: 向各位请教:如何计算几何平均滴度(GMT) [打印本页]
作者: wsysyyc    时间: 2007-8-8 09:01     标题: 向各位请教:如何计算几何平均滴度(GMT)
提示: 作者被禁止或删除 内容自动屏蔽
作者: wsysyyc    时间: 2007-8-8 09:07
提示: 作者被禁止或删除 内容自动屏蔽
作者: 风平浪静    时间: 2007-8-8 12:17
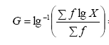
求平均滴度的倒数为以下公式:
图片附件: [向各位请教:如何计算几何平均滴度(GMT)] CaEFUye8.bmp (2007-8-8 12:17, 19.3 KB) / 下载次数 794
http://www.cdcman.com/attachment.php?aid=2360&k=83a64c950c59f133dbe0d94ced8e12c4&t=1762258722&sid=79WW1w

作者: wsysyyc    时间: 2007-8-8 15:06
提示: 作者被禁止或删除 内容自动屏蔽
作者: xiaoyi    时间: 2008-5-3 13:59
统计软件都可以做啊,SPSS很简单的.EXCEL也可以,不过EXCEL市场计算的样本量有限.
作者: wsysyyc    时间: 2008-5-4 09:27
提示: 作者被禁止或删除 内容自动屏蔽
| 欢迎光临 疾控家园 (http://www.cdcman.com/) | 
Powered by Discuz! 7.2 |